Por Nicolás J. Portino González
La sequía de la pauta oficial nacional no erradicó la corrupción en los medios argentinos; simplemente internacionalizó la tarifa. La filtración de 76 documentos clasificados que exponen la penetración del espionaje ruso en el ecosistema mediático local demuestra, sin margen de duda, que una porción del periodismo autóctono ha decidido sustituir el financiamiento del Estado por los dólares manchados del SVR (Servicio de Inteligencia Exterior de Rusia). No son comunicadores; son operadores a sueldo de una potencia extranjera, y la evidencia de su prostitución periodística ha quedado documentada en un vulgar archivo de Excel. Según especialistas, Argentina podría iniciar acciones penales y diplomáticas contra Rusia por espionaje y los periodistas y medios involucrados podrían ser demandados.
La investigación internacional —impulsada por openDemocracy y coronada por los aportes del periodista Hugo Alconada Mon en La Nación— expone la anatomía de una operación de inteligencia de manual. Bajo el nombre clave “Turistas Argentinos”, Moscú orquestó y ejecutó entre el 13 y el 29 de agosto de 2024 una campaña de desinformación pura y dura.
El objetivo no era una simple crítica política, sino una maniobra de sabotaje diplomático: “Crear tensión entre Argentina y Chile”. Para ello, los operadores rusos fabricaron la mentira de que el gobierno de Javier Milei, supuestamente bajo órdenes de Estados Unidos, enviaría un grupo de choque para ejecutar un ataque terrorista contra el gasoducto transandino en Chile.
Lo alarmante no es que la maquinaria de Aktivniye Meropriyatiya (Medidas Activas) de Vladimir Putin intente desestabilizar a un gobierno soberano; eso es lo que Rusia hace. Lo repugnante es la facilidad, la rapidez y el precio por el cual los portales argentinos se ofrecieron como el vehículo para plantar esta basura informativa contra su propio país.

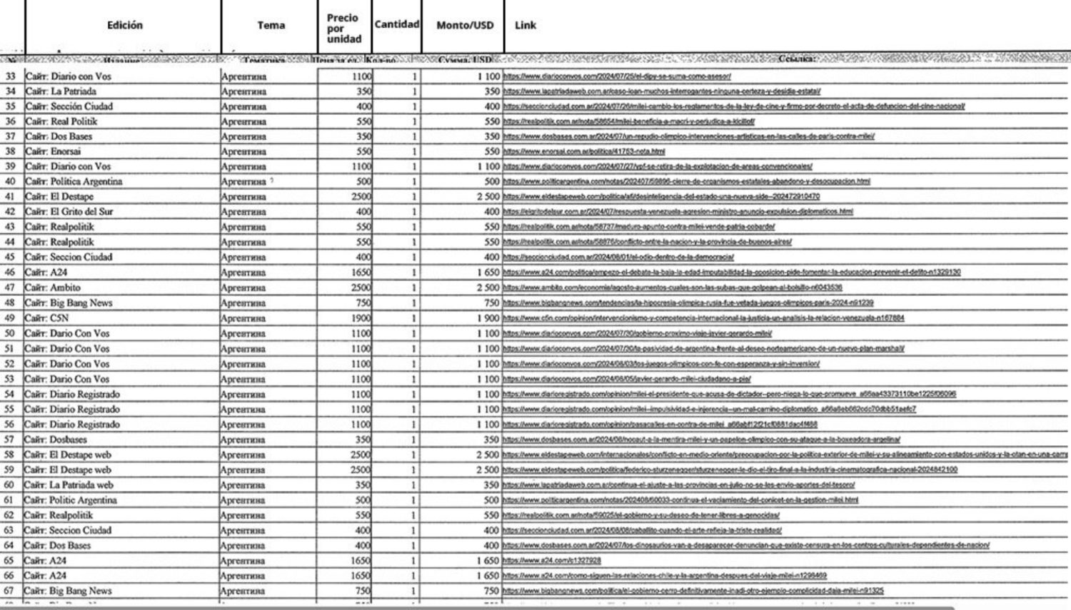
Los documentos y planillas filtradas funcionan como un recibo de sueldo de la traición. Lejos de la épica del periodismo de investigación, la planilla expone un sistema transaccional donde las URL (los enlaces a las notas publicadas) se entregaban como prueba de trabajo para liberar los pagos. Publicaban las órdenes de Moscú sin firma, bajo seudónimos cobardes o escudados en la firma de “Redacción”.
El tarifario expone la miseria moral y el precio de mercado de estas plataformas. La inteligencia rusa catalogó y compró voluntades según el nivel de impacto:
Los “Premium” de la desinformación: Por US$ 2.500 la pieza, portales como El Destape y Ámbito insertaron las narrativas rusas. Les siguió de cerca C5N, cobrando US$ 1.900 por nota, y A24, facturando US$ 1.650 por operar como una terminal de Moscú en Buenos Aires.
La segunda línea: Medios como Diario Con Vos y Diario Registrado entregaron sus espacios por US$ 1.100 la publicación.
El saldo y retazos: Por menos de mil dólares, la infantería digital se sumó al festín. Big Bang News (US$ 750), RP y En Orsai (US$ 550), Política Argentina (US$ 500), Sección Ciudad y El Grito del Sur (US$ 400), cayendo hasta las migajas de US$ 350 cobradas por La Patriada y Dos Bases.
Una red transversal de indignidad mediática operando en conjunto para cobrar un presupuesto documentado de al menos US$ 16.500.
El 1 de septiembre de 2025, cuando el Ministerio de Seguridad a cargo de Patricia Bullrich denunció formalmente esta red de espionaje ante la Justicia Federal, la Embajada de la Federación Rusa en Argentina emitió un comunicado plagado de cinismo, tachando las acusaciones de “infundadas y falsas”. Hoy, 3 de abril de 2026, los documentos filtrados les arrancan la careta. Rusia mintió deliberadamente para encubrir su ataque híbrido contra la soberanía argentina.
Sin embargo, el repudio principal no debe recaer solo sobre la potencia extranjera que ataca, sino sobre la quinta columna interna que lo facilita. Aquellos “periodistas” que se rasgaban las vestiduras en defensa de la soberanía nacional y la independencia informativa, han quedado expuestos como simples mercenarios. Sin pauta local, corrieron a arrodillarse ante los fondos negros del espionaje ruso, demostrando que su única línea editorial siempre fue, y sigue siendo, la caja.





